机器学习笔记(五)---- 决策树
-- 基本概念
决策树是一种非常常见的机器学习算法,采用的是自顶向下的递归方法,利用信息熵为基本度量构造一颗熵值下降最快的树,理想情况下到叶子节点的熵值为零,对应每个叶子节点的实例都属于同一类。叶子节点对应于决策结果,节点则对应一个属性测试。相比于线性模型,树形模型更接近于人的思维方式,可以产生可视化的分类规则,产生的模型具有比较强的可解释性。
决策树的节点,也就是属性是怎么划分的呢,先要了解几个基本概念:
信息熵:度量样本集合纯度最常用的指标,当前数据集中第k类样本所占比例为Pk,计算公式如下,Ent(D)越小,则数据纯度越高。

信息增益:计算公式如下,a是离散属性,有V个可能的取值,|Dv|/|D|是第V个属性的权重。信息增益越大,意味着使用属性a来进行划分所获得的数据纯度越大。需要注意的是,对于某一类属性,如果可取值数目较多时,信息增益会越大。

信息增益率:与信息增益相反,属性的可取数目较少时,信息增益率更大,其中IV(a)称为属性a的固有值,属性a的可能数目越多(V越大),则IV(a)越大,则信息增益率则越小。

基尼指数:反映了从数据集中随机抽取两个样本,其类别标记不一致的概率,越小表示数据纯度越高。

-- 算法介绍
信息增益、增益率、基尼指数都是决策树划分属性的纯度度量方法,根据不同的方法,就衍生出3种不同的决策树算法:
1、ID3算法:以信息增益为准则来选择划分属性,选择划分后信息增益最大的属性进行划分,这种算法对属性可取数目较多时有偏好。
2、C4.5算法:选择具有最大增益率的属性作为划分属性,具体做法是先从候选划分属性中找到信息增益高于平均水平的属性,再从中选择增益率最高的作为划分属性。
3、CART算法:选择划分后基尼指数最小的属性最为最优划分属性。
几种算法的比较:
ID3属于比较早期的决策树算法,倾向于选择属性划分比较多的作为分裂属性,可能会导致生成一个水平节点庞大但深度浅的树;输入变量必须是离散值,并且无法处理空值。
C4.5对ID3做了一些改进,结合信息增益和增益率来选择分裂属性,避免了ID3中倾向于选择取值较多属性的问题,并且可以处理连续值。
CART既可以创建分类树,也可以创建回归树。分类树中,CART树是一个二叉树,所以不适合用于离散属性取值大于2的情况,对于连续值的处理和C4.5算法基本相同。
-- 决策树生成示例
这个例子是西瓜书上的,比较好理解,有一份描述西瓜是好瓜还是坏瓜的数据集,共有17个样本,每条数据有6个属性,数据集如下:

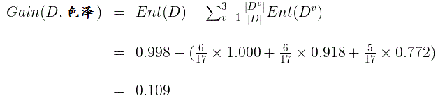
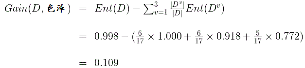
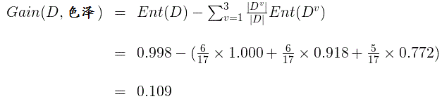
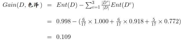
(1)以ID3算法为例生成决策树,先计算各个属性划分后的信息增益:


(2)发现“纹理”属性的信息增益最大,则选择它作为分裂属性,得到下列图:

(3)接着对每个分支再进行分裂,以第一个分支为例,对属性继续计算信息增益,发现“根蒂”、“脐部”、“触感”3个属性的信息增益一样,可以随机选择一个继续分裂。

(4)图中{“根蒂=蜷缩”}这个节点已经全部是好瓜类型,则不需要继续分裂,递归返回

(5)针对每一个节点递归应用上面的分裂方法,最后得到一个完整决策树:
-- 剪枝处理
决策树分支过多,太庞大的话容易导致过拟合,可以通过“剪枝(pruning)”的方法来降低过拟合风险。剪枝的基本策略分为“预剪枝”和“后剪枝”。
预剪枝:在决策树生成过程中,对每个节点在分裂前进行估计,若当前节点的划分不能带来决策树泛化性能提升,则停止分裂,并将当前节点标记为叶节点并返回。下图是针对西瓜数据集的预剪枝处理,可以发现比原决策树精简了很多。


后剪枝:先通过算法生成一棵完整的决策树,然后自底向上的对非叶节点进行考察,若将该节点对应的子树替换为叶节点能带来决策树泛化能力的提升,则将该子树替换为叶节点。下图是针对西瓜数据集的后剪枝处理。


从上面预剪枝和后剪枝的例子看,一般情况下后剪枝比预剪枝保留了更多的分支,后剪枝的泛化性能一般更优,欠拟合风险更小;但由于后剪枝是自底向上对各节点进行考察,其训练时间及开销比预剪枝更大。
-- 特征连续值处理
特征属性如果是连续值的话,可取值数目是无限的,不能按照离散值那样通过可取值数目来进行节点划分,最常用的办法是二分法。
数据集D和连续值属性a,假设a在D中出现了n个不同的取值,先把这些值从小到大排序,可以考察包含n-1个候选划分点集合:

即把每两个取值点的中位点作为候选划分点,然后计算每个划分点之后的信息增益,选取信息增益最大的划分点进行分裂,也就是需找使Gain(D,a,t)最大的划分点。
-- sklearn决策树可视化
sklearn其实已经将模型封装得非常好,上面提到的很多细节都已经被屏蔽了,通过模型参数可以对其进行调节,以鸢尾花数据集为例,学习使用下决策树模型。
"criterion"参数填写“entropy”表示采用C4.5算法,“gini”表示采用CART算法
01 | from sklearn import datasets |
02 | from sklearn.cross_validation import train_test_split |
03 | from sklearn.metrics import accuracy_score |
04 | from sklearn import tree |
05 | from sklearn.externals.six import StringIO |
06 | import pydotplus |
07 |
08 | data_iris = datasets.load_iris() |
09 | x, y = data_iris.data, data_iris.target |
10 | x_train, x_test, y_train, y_test = train_test_split(x, y, test_size =0.3,random_state = 0) |
11 |
12 | # 通过C4.5算法决策树模型进行预测 |
13 | model = tree.DecisionTreeClassifier(criterion="entropy") |
14 | model.fit(x_train, y_train) |
15 | y_pred = model.predict(x_test) |
16 | print(accuracy_score(y_test, y_pred)) |
17 |
18 | # 决策树可视化 |
19 | dot_data = StringIO() |
20 | tree.export_graphviz(model,out_file = dot_data, |
21 | feature_names=data_iris.feature_names, |
22 | class_names=data_iris.target_names, |
23 | filled=True,rounded=True,special_characters=True) |
24 | graph = pydotplus.graph_from_dot_data(dot_data.getvalue()) |
25 | graph.write_pdf("Tree.pdf") |
生成的决策树可视化图如下:

这个决策树可视化图信息比较完整,以顶层的3个节点为例看看决策树是怎么分生成的:
节点1(根节点):一共有105个样本(samples=105),3种鸢尾花类别的分布情况value=[34,32,39];通过二分法找出划分点是petal width <=0.75,,信息增益为1.58;如果在此节点停止分裂,则在这个节点上的数据都会被判定为"virginica"类别(class=virginica,以当前数目最多的类别为准)。
节点2:petal width<=0.75的样本都被分到这个节点,样本数为34,信息增益为0,说明该节点数据已经“纯净”,value=[34,0,0],该数据集所有数据都属于类别“setosa”,停止分裂。
节点3:petal width>0.75的样本被分到这个节点,样本数为71;通过二分法找到的划分点是 petal length<=4.95,信息增益为0.993,如果在此节点停止分裂则在此节点的数据都被判定为“virginica”类别。
节点n:...... 自顶向下,完成整个决策树的分裂。
通过完整的决策树可以发现,所有的叶子节点的数据都是“纯净”的,但在很多时候,特别是数据量大,类别较多的情况下,如果要做到每个叶子节点数据都“纯净”的话,整个决策树非常复杂,开销太大,所以一般会对数据“纯净”相关的参数例如信息增益、基尼系数等做限制,在小于某个阈值之后就不再分裂了,在DecisionTreeClassifier分类器中是通过"min_impurity_split"参数限制的。
本文来自作者周捷
- 点赞
- 收藏
- 关注作者
评论(0)