《深度学习:卷积神经网络从入门到精通》——2.13 权值偏置初始化

举报
华章计算机 发表于 2019/06/05 23:49:28 2019/06/05
【摘要】 本书摘自《深度学习:卷积神经网络从入门到精通》——书中第2章,第2.13节,作者是李玉鑑、张婷、单传辉、刘兆英等。

2.13 权值偏置初始化

在训练神经网络之前,必须对其权值和偏置进行初始化。常用的初始化方法有三种,分别是高斯初始化、Xavier初始化和MSRA初始化。它们一般都把偏置初始化为0,但对权值进行随机初始化。其中,高斯初始化比较容易理解,就是根据某个高斯分布来初始化权值,但均值通常选0,方差需要按经验人工选择。下面对Xavier和MSRA做进一步的

说明。

Xavier的基本思想是保持信息在神经网络中流动过程的方差不变[101]。这种方法在实际应用时根据一个均匀分布来初始化权值。如果某个神经元yj有n个输入x1, x2, …, xn,相应的连接权值为wij,则满足关系:

image.png(2.97)

那么采用Xavier进行初始化的方法就是:

image.png(2.98)

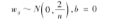
MSRA的基本思想与Xavier类似[102],但主要是针对ReLU和PReLU激活函数来设计的。这种方法在实际应用时根据一个方差为??的零均匀高斯分布来初始化权值,即

image.png(2.99)


【版权声明】本文为华为云社区用户转载文章,如果您发现本社区中有涉嫌抄袭的内容,欢迎发送邮件进行举报,并提供相关证据,一经查实,本社区将立刻删除涉嫌侵权内容,举报邮箱: cloudbbs@huaweicloud.com
  • 点赞
  • 收藏
  • 关注作者

评论(0

0/1000
抱歉,系统识别当前为高风险访问,暂不支持该操作

全部回复

上滑加载中

设置昵称

在此一键设置昵称,即可参与社区互动!

*长度不超过10个汉字或20个英文字符,设置后3个月内不可修改。

*长度不超过10个汉字或20个英文字符,设置后3个月内不可修改。