《Keras深度学习实战》—3.8 AdaDelta优化算法
【摘要】 本节书摘来自华章计算机《Keras深度学习实战》一书中的第3章,第3.8.1节,作者是拉蒂普·杜瓦(Rajdeep Dua)[印] 曼普里特·辛格·古特(Manpreet Singh Ghotra) 著 罗 娜 祁佳康 译.
3.8 AdaDelta优化算法
AdaDelta解决了AdaGrad优化算法学习率下降的问题。AdaGrad的学习率为1除以平方根的总和,每个阶段会添加一个平方根,使得分母不断增加。而AdaDelta不是对所有先前的平方根求和,而是使用允许总和减少的滑动窗口。
AdaDelta是AdaGrad的改进,减缓了学习率的下降速率。AdaDelta不是累积所有过去的平方梯度,而是将累积过去梯度的窗口限制为固定大小w。
AdaDelta不是低效地存储w大小的过去平方梯度,而是将梯度的总和递归地定义为所有过去的平方梯度的衰减平均值。时间步长t的运行平均值E[g2]t仅依赖于先前的平均值和当前梯度(γ作为系数,类似于动量项):

其中E[g2]t是时间t时的梯度的平方和,γE[g2]t-1是时间t-1的梯度平方和的γ倍,其中γ是E[g2]t-1被添加到等式的系数。
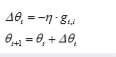
假设θ有增量,则:

所以新的Δθ项为:

3.8.1 准备工作
引入前面的示例通用代码指定的类、方法等。
【版权声明】本文为华为云社区用户转载文章,如果您发现本社区中有涉嫌抄袭的内容,欢迎发送邮件进行举报,并提供相关证据,一经查实,本社区将立刻删除涉嫌侵权内容,举报邮箱:
cloudbbs@huaweicloud.com
- 点赞
- 收藏
- 关注作者
评论(0)