Author Topic Model理解
【摘要】 来源本博客介绍的论文来自于一下论文:Rosen-Zvi M, Griffiths T, Steyvers M, et al. The author-topic model for authors and documents[C]//Proceedings of the 20th conference on Uncertainty in artificial intelligence. AUA...
来源
本博客介绍的论文来自于一下论文:
Rosen-Zvi M, Griffiths T, Steyvers M, et al. The author-topic model for authors and documents[C]//Proceedings of the 20th conference on Uncertainty in artificial intelligence. AUAI Press, 2004: 487-494.
Modeling documents with topics


Modeling authors with words


The author-topic model
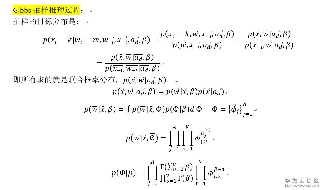
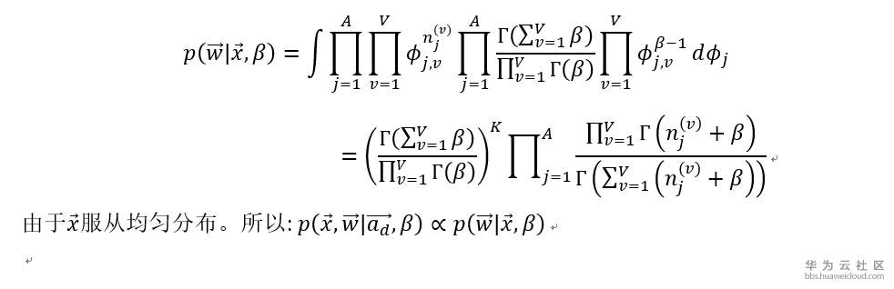
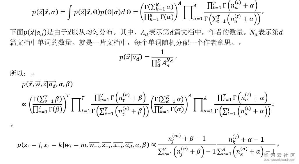
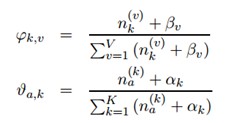
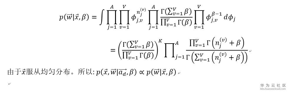
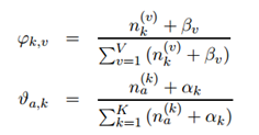
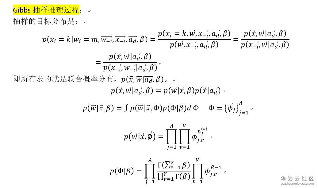
Gibbs sampling algorithms


‘’






另外本博客的CSDN地址为:https://blog.csdn.net/qy20115549/article/details/80564086
【声明】本内容来自华为云开发者社区博主,不代表华为云及华为云开发者社区的观点和立场。转载时必须标注文章的来源(华为云社区)、文章链接、文章作者等基本信息,否则作者和本社区有权追究责任。如果您发现本社区中有涉嫌抄袭的内容,欢迎发送邮件进行举报,并提供相关证据,一经查实,本社区将立刻删除涉嫌侵权内容,举报邮箱:
cloudbbs@huaweicloud.com
- 点赞
- 收藏
- 关注作者



评论(0)