机器学习|朴素贝叶斯(Naive Bayes)算法总结
1. 简单定义
朴素贝叶斯是一种简单快速的有监督学习类线性分类算法。
那么如何解读上面这句定义?从描述定义的词汇入手。
a. 线性分类:分类是一种确定数据类别的问题,例如天气阴晴,花开花谢,水果酸甜等。其目标是将具有相似或相同特征的对象聚集。而线性分类(器)透过特征的线性组合来坐出分类决定。也就是说不同类别之间的分类边界要为线性,如下图。

线性算法的优点是训练和预测的效率比较高,但最终效果对特征的依赖程度较高,需要数据在特征层面上是线性可分的。
b. 有监督学习:监督学习是指用已经标记好的数据,做训练来预测新数据的类型,或者是值。预测已有类型叫做分类,预测一个值叫做回归。与无监督学习最简单的区分方法就是看训练样本数据有无标签,有即有监督学习,没有即无监督学习。
c. 朴素:假设某个特征的出现与其它特征的出现是独立的。举个例子:想要根据颜色、形状、味道去识别一种水果,那么橙色、球形、味道酸甜的水果很可能是橘子。上述描述中,即使这些特征依赖于彼此或取决于其他特征的存在,所有这些特性均可以单独地提升该果实是橘子的可能性,这就是为什么它被称为朴素。
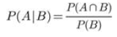
d. 贝叶斯定理:直白的说,贝叶斯定理实际描述用于计算条件概率的方法和公式。最简单的两事件情况下,条件概率就是在事件B发生的情况下,另一事件A发生的概率,数学形式为P(A|B)。更直观的解释可借用下面的文氏图描述。

在事件B发生的情况下,事件A发生的概率为:

则:

即:

得到的条件概率计算公式为,

此时需要对P(B)做一个引申,即需要知道事件B的全概率。则推广上述的场景至更广义一些。假定一个样本空间为S,是两事件A与A’的和,如图:

引入事件B后,事件B可划分为两个部分,1)与事件A重合的部分;2)与事件A’重合的部分。则事件B的概率为:

由上页的推导可得出:

上述公式即为全概率公式。它的含义是,如果A和A'构成样本空间的一个划分,那么事件B的概率,就等于A和A'的概率分别乘以B对这两个事件的条件概率的和。将这个公式代入上一节的条件概率公式,就得到了条件概率的另一种写法:

为了更直观的理解,在此举一个例子:

两个一模一样的碗,一号碗有30颗水果糖和10颗巧克力糖,二号碗有水果糖和巧克力糖各20颗。现在随机选择一个碗,从中摸出一颗糖,发现是水果糖。请问这颗水果糖来自一号碗的概率有多大?
我们假定,W1表示一号碗,W2表示二号碗。由于这两个碗是一样的,所以P(W1)=P(W2),也就是说,在取出水果糖之前,这两个碗被选中的概率相同。因此,P(W1)=0.5,没有做实验之前,来自一号碗的概率是0.5。
再假定,T表示水果糖,所以问题就变成了在已知T的情况下,来自一号碗的概率有多大,即求P(W1|T)

已知,P(W1)等于0.5,P(T|W1)为一号碗中取出水果糖的概率,等于0.75,那么求出P(T)就可以得到答案,根据全概率公式得到:

上述解释只是针对空间内总样本数为2的情况,一般在机器学习中对训练样本和测试样本的数量要求很大,对于基础的二分类,就是把标签为0和1的样本分别取出,建立两种训练模型model0和model1。在判别测试样本时会把这些样本的特征分别代入model0和model1,选取拟合更好的模型。因此再推广朴素贝叶斯的公式至二分类一般情况下:

由全概率公式可知:

则:

根据朴素贝叶斯性质得知,若x1、x2……..xn之间相互独立,则有:

(举个例子便于理解,在下雨天时小明穿板鞋的概率是0.9,下雨天时小明吃米饭的概率为0.5,那么下雨天小明穿着板鞋吃米饭的概率为0.5 x 0.9 =0.45。)
代入上页公式可得:

P(xi|y=1)表示所有的标签为1的样本中,xi=1的样本所占的比率,P(xi|y=0)表示所有标签为0的样本中xi=1的比率。那么如何得知P(y=1)和P(y=0)呢?其实很容易理解,P(y=1)是训练样本中标签为1的样本比率,P(y=0)表示标签为0的样本的比率,在样本空间中找出标签为1的样本与总样本数m的比值即为P(y=1),同理可得P(y=0)。
2. 解释说明与分析
a. 逻辑解释

在二分类一般形式的朴素贝叶斯公式中,可以将等式右边分为P(y=1)和![]()
的乘积,我们将P(y=1)称为先验概率;

称为可能性函数,即调整因子;而等式左边的

称为后验概率。那么公式就可以理解为:
后验概率 = 先验概率 x 调整因子
这就是贝叶斯推断的含义。我们先预估一个"先验概率",然后加入实验结果,看这个实验到底是增强还是削弱了"先验概率",由此得到更接近事实的"后验概率"。在这里,如果调整因子

意味着"先验概率"被增强,事件A的发生的可能性变大;如果调整因子=1,意味着B事件无助于判断事件A的可能性;如果调整因子<1,意味着"先验概率"被削弱,事件A的可能性变小。在某种意义上讲,这个公式可以总结历史,预知未来。
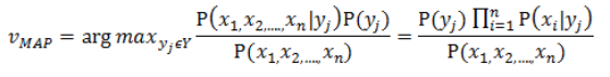
b. 普适推广至多分类下的朴素贝叶斯
在更多的情况下,样本的分类情况远远多于二分,标签的数量不只是2。那么一般化多分类的朴素贝叶斯可表示为:

我们可定义
为最大后验值,
函数定义为求出使目标函数取得最大值对应的自变量:

由于x1、x2……..xn之间相互独立,则有:

由于
给定输入为常数,则有:

实际上,上式右边就是朴素贝叶斯分类器公式:

c. 朴素贝叶斯优缺点
优点:
这是一个相对容易构建和理解的算法。
使用该算法比许多其他分类算法能更快地预测类。
使用小数据集也可以容易地训练数据。
类条件特征独立分布意味着每个类分布可以独立地估计为一维分布。这又有助于缓解数据降维带来的问题。
缺点:
如果给定没有出现过的类和特征,则该类别的条件概率估计将出现0,该问题被称为“零条件概率问题”。这是一个问题,因为它会擦除其他概率中的所有信息。
另一个缺点是它的特征之间独立的假设非常强。 在现实生活中几乎很难找到这样的数据集。在属性个数比较多或者属性之间相关性较大时,朴素贝叶斯分类模型的分类效率低。而在属性相关性较小时,朴素贝叶斯分类模型的性能最为良好。
d. 改进
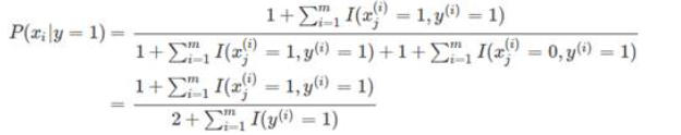
拉普拉斯平滑
拉普拉斯平滑是为了解决上述“零条件概率问题”。考虑一种特殊情况,如果样本中变量xi的取值全部为0,即P(xi|yj)=0,则式子
的结果也为0,显然不合理。因此需要对0概率进行调整。对于此问题,数学家拉普拉斯提出了加1平滑法,以基础的二分类为例:

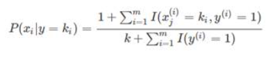
更一般情况下,加入xi有k个不同的取值,当样本数量足够大时加入拉普拉斯平滑后并不会影响到概率的值,概率为:

作者|王天鸿
- 点赞
- 收藏
- 关注作者
评论(0)