收益评价指标
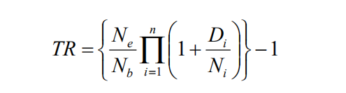
1. 收益评价指标:总回报率(Total Return)
总回报率反映投资人在持有基金的一定时期内所获得的收益
假设前提:投资人在期初购买了基金单位;投资人将所得分红均用于再投资;不考虑税收、交易费用
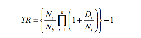
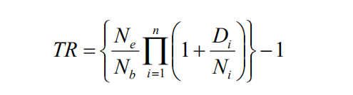
计算公式为:

其中:
表示总回报率Ne表示计算期末基金单位净值
表示计算期初基金单位净值
表示在计算期间时点
单位基金分红金额
表示时点 i 分红再投资所依照的基金单位净值
表示计算期内的分红
例如,某只私募基金 2002 年 12 月 31 日的单位净值为 1.00 元,2003 年 12 月 31 日的单位净值为 1.05 元;2003 年该基金
进行了两次分红,第一次分红再投资所依照的单位净值为 1.01 元,每基金单位分红 0.05 元;第二次分红再投资依照的单
位净值为 1.02 元,每基金单位分红 0.06 元。
该基金 2003 年度总回报率=(1.05÷1.00)×(1+0.05÷1.01)×(1+0.06÷1.02)−1=16.68%
注:
1. 月回报率为以各基金具体披露净值日期为基础的滑动月回报率。
2. 总回报率仅为展示各基金获得收益的能力,并不代表投资者能获得的具体收益,请投资者考虑手续费(包括认/申购费,赎回费)的影响。
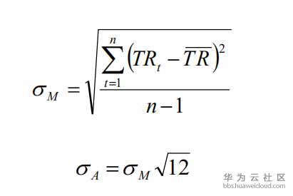
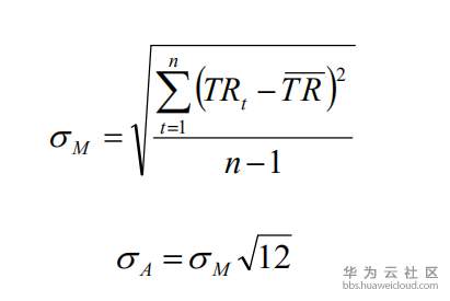
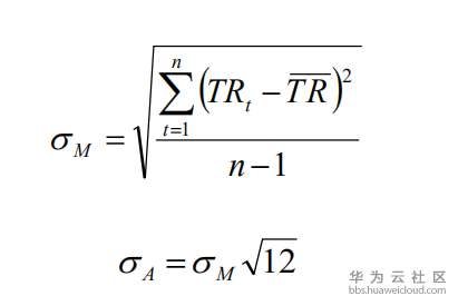
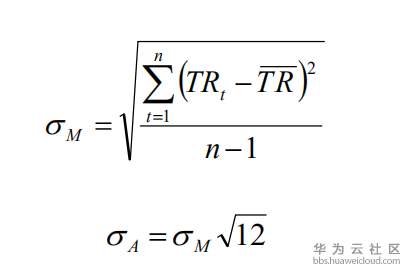
2. 风险评价指标:标准差(Standard Deviation)− 波动率
反映计算期内总回报率的波动幅度,即基金每月的总回报率相对于平均月回报率的偏差程度,波动越大,标准差也越
大。
计算公式:

其中:
表示年化标准差(年化波动率)
表示月度总回报率的标准差
表示计算期间所含月数
表示第t个月的基金总回报率2
表示n个月的基金总回报率平均值
3.风险调整后收益指标:夏普比率(Sharpe Ratio)和索提诺比率(Sortino Ratio)
3.1 夏普比率(Sharpe Ratio) 夏普比率是衡量基金风险调整后收益的指标之一,反映了基金承担单位风险所获得的超额回报率(Excess Returns),即基金总回报率高于同期无风险利率的部分。一般情况下,该比率越高,基金承担单位风险得到的超额回报率越高。 计算公

其中:
表示年化夏普比率
表示月度夏普比率
表示基金在计算期内月度超额回报率(月度总回报率减去同期的无风险利率)的平均值
表示基金在计算期内月度超额回报率的标准差
3.2 索提诺比率(Sortino Ratio)
除了夏普比率外,我们还增加了一个下行风险调整后的收益指标,供投资者参考。
索提诺比率与夏普比率类似,所不同的是它区分了波动的好坏,因此在计算波动率时它所采用的不是标准差,而是下
行标准差。这其中的隐含条件是投资组合的上涨(正回报率)符合投资人的需求,不应计入风险调整。
和夏普比率类似,这一比率越高,表明基金承担相同单位下行风险能获得更高的超额回报率(Excess Returns)。索提
诺比率可以看做是夏普比率在衡量对冲基金/私募基金时的一种修正方式。
计算公式:

其中:
表示年化索提诺比率
表示月度索提诺比率
n表示计算期间所含月数
表示第t个月的基金总回报率
表示无风险利率
表示基金在计算期内月度超额回报率(月回报率减去同期的无风险利率)的平均值
表示基金在计算期内月度超额回报率的下行标准差
我们可以通过一个特殊的例子来比较夏普比率和索提诺比率的区别,为了简化计算,无风险利率设为 0%。
假设私募基金 A 和 B 在 2009 年伊始的净值均为 1.00,且他们每月的净值公布日期均一致。在 2009 年,私募基金 A 的每
个月的回报各为 3%、-5%、-2%、-2%、-2%、2%、-2%、5%、5%、3%、10%、9%;私募基金 B 在 2009 年同期每月回
报为 3%、-1%、1%、-1%、1%、-1%、-1%、-1%、-1%、0%、15%、10%。通过计算,我们得到两个私募基金在 2009
年的总回报均为 25.6%,但是私募基金 A 的夏普比率 1.47 要略高于私募 B 的夏普比率 1.35。但如果计算索提诺比率,我
们就会发现私募 A 的索提诺比率(3.6)要远低于私募 B 的索提诺比率(9.5)。
这其中主要的差别就是在计算夏普比率的过程中,私募 B 因最后两个月的收益突然大幅上涨而导致波动率过大,在计算风
险调整时受到了“惩罚”;而在计算索提诺比率过程中,任何高于无风险利率的上涨都不会计入风险调整,因此,私募 B 在
最后两期的上涨并不会导致索提诺比率的降低。和夏普比率相比,索提诺比率这一衡量标准更符合那些对资产价值下跌较为
敏感的投资者.
- 点赞
- 收藏
- 关注作者
评论(0)