总体与组间均值、方差之间的关系
【摘要】 主要介绍了总体与组间方差和均值之间的关系
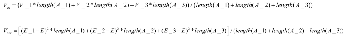
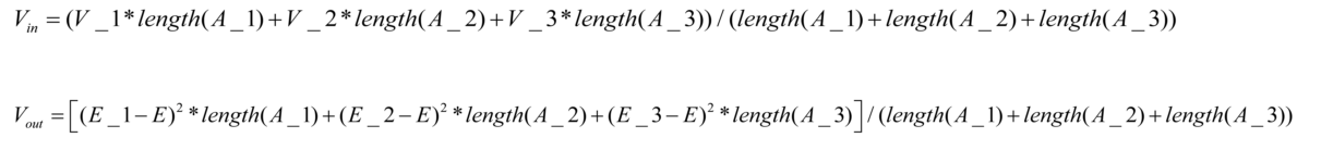
在一个项目中需要计算历史数据与当天实时数据的均值和方差的大小,需要将每天的数据看作一个单元,将历史数据和当天更新的数据进行迭代计算,每天更新一个均值的方差,基于此,整理了一份总体与组间均值和方差的计算。![]()





【版权声明】本文为华为云社区用户转载文章,如果您发现本社区中有涉嫌抄袭的内容,欢迎发送邮件进行举报,并提供相关证据,一经查实,本社区将立刻删除涉嫌侵权内容,举报邮箱:
cloudbbs@huaweicloud.com
- 点赞
- 收藏
- 关注作者
评论(0)