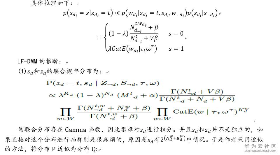
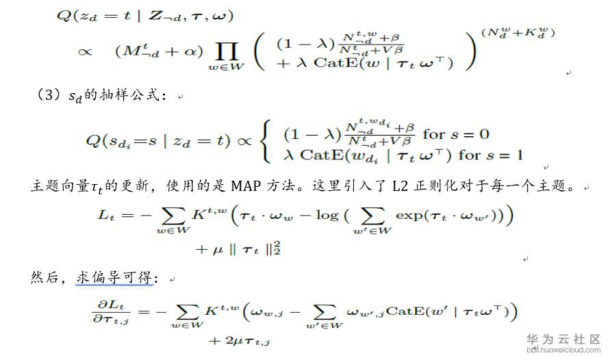
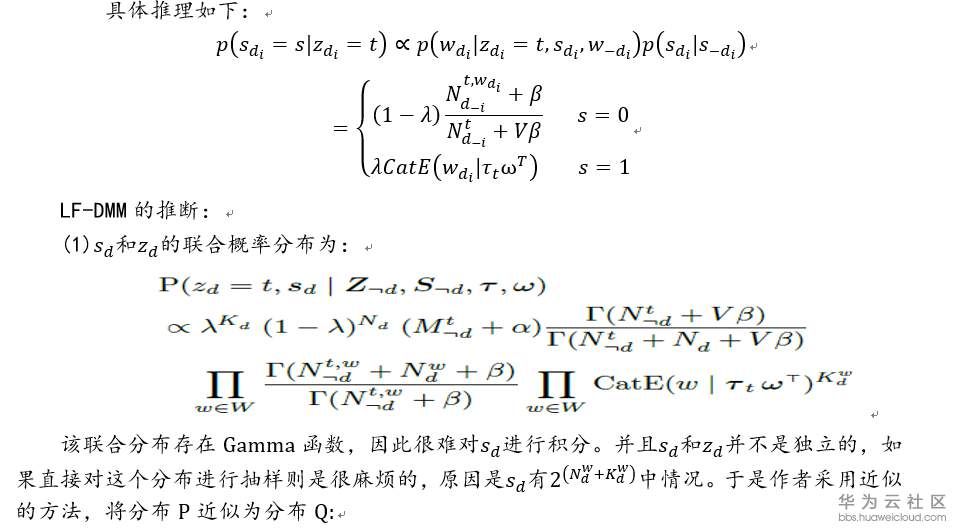
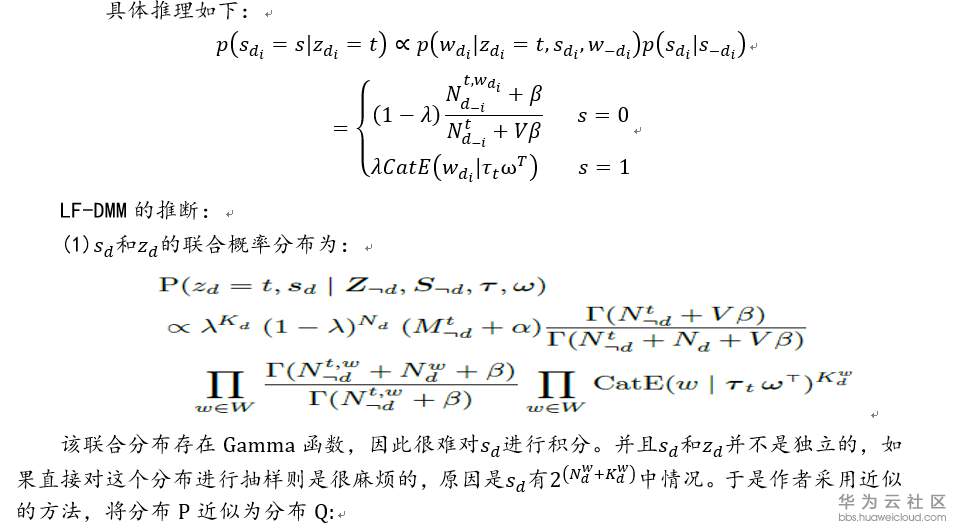
结合词向量的主题模型
【摘要】 论文来源Nguyen D Q, Billingsley R, Du L, et al. Improving topic models with latent feature word representations[J]. Transactions of the Association for Computational Linguistics, 2015, 3: 299-313.论文理解本...
论文来源
Nguyen D Q, Billingsley R, Du L, et al. Improving topic models with latent feature word representations[J]. Transactions of the Association for Computational Linguistics, 2015, 3: 299-313.
论文理解













本博客CSDN的地址为:https://blog.csdn.net/qy20115549/article/details/79476239
【声明】本内容来自华为云开发者社区博主,不代表华为云及华为云开发者社区的观点和立场。转载时必须标注文章的来源(华为云社区)、文章链接、文章作者等基本信息,否则作者和本社区有权追究责任。如果您发现本社区中有涉嫌抄袭的内容,欢迎发送邮件进行举报,并提供相关证据,一经查实,本社区将立刻删除涉嫌侵权内容,举报邮箱:
cloudbbs@huaweicloud.com
- 点赞
- 收藏
- 关注作者
评论(0)